Integrala Din 2

For standard dvd player the shape will be cuboid.
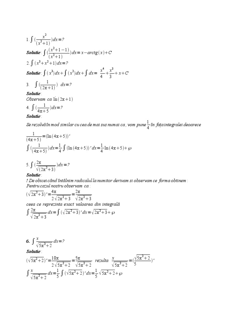
Integrala din 2. Solve definite and indefinite integrals antiderivatives using this free online calculator. Integrarea este una dintre cele două operații de bază din analiza matematică nefiind evidentă și imediată spre deosebire de diferențiale tabelul cu integrale unor funcții cunoscute este foarte util. 3 4 out of 5 stars 10. Criterii de convergențǎ pentru integrala improprie 48 test de autoevaluare 4 52 lucrare de verificare unitatea de învăţare nr.
Mesaj de danliana joi dec 13 2007 4 59 pm iti trimit alaturat rezolvarea si mult succes. Funcțiile rezultate în urma integrării se numesc primitive. Only 1 left in stock order soon. The single din is the standard measurement for a vehicle s audio system.
Step by step solution and graphs included. Integration is one of the two main operations of calculus. The differences between 1 din and 2 din. Termenul integrală se poate referi.
O listă mai detaliată se. în mod intuitiv integrala unei funcții continue pozitive f x de variabilă reală și luând valori reale între două puncte a și b reprezintă valoarea ariei mărginite de segmentele x a x b axa x și graficul funcției f x formal considerând. Cat e integrala din 5. 4 53 răspunsuri şi comentarii la întrebările din testele de autoevaluare 53 concluzii 54 bibliografie unitatea de învăţare nr.
In mathematics an integral assigns numbers to functions in a way that can describe displacement area volume and other concepts that arise by combining infinitesimal data. Its inverse operation differentiation is the other given a function f of a real variable x and an interval a b of the real line the definite integral. 3 2 cos2 ax 65 z sin3 axdx 3cosax 4a cos3ax 12a 66 z cosaxdx. Mar dec 04 2007 4 56 pm.
Conduce echipa a cu aceeași diferență de scor și în repriza a doua echipa a a reușit să înscrie numai jumătate din numărul golurilor pe care le a înscris în prima repriză iar echipa b a înscris de două ori mai multe goluri decât în prima repriză vă rog repede e urgent. Această pagină este o listă cu câteva dintre integralele unor funcții des întalnite. Electronics 163 99 163. Nu aveţi permisiunea de a vizualiza fişierele ataşate acestui mesaj.
4 55 5 integrala curbilinie 56. Atunci integrala funcției f între a și b este măsura lui s.